Breadcrumbs

Início - Vista geral Empresa

NOTA: Esta opção está disponível para os utilizadores Administrador Global, Administrador, Consulting e Gestor. No caso do utilizador Gestor, o gráfico é diferente do restante e é detalhado na parte inferior deste separador.

  • Vista Geral

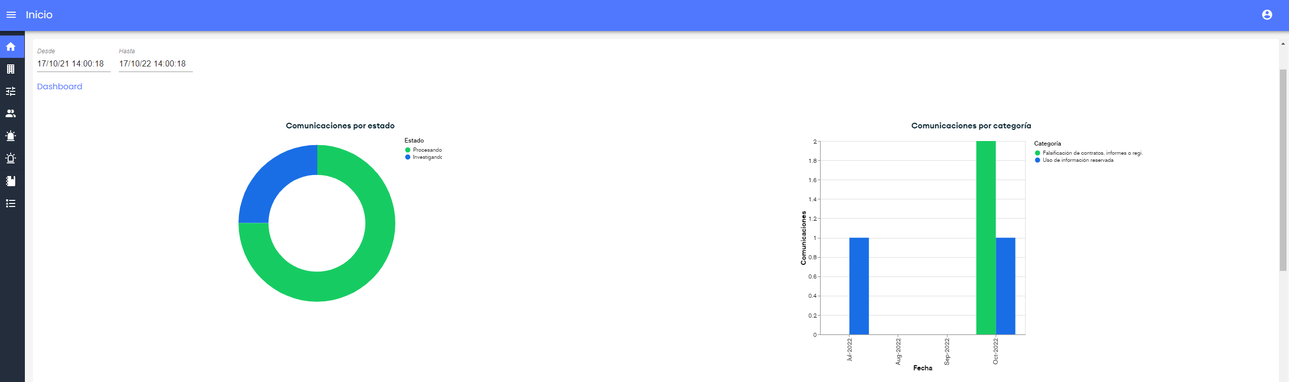
Esta opção permite ver um resumo do estado de situação do canal. É possível personalizar quais gráficos, entre os disponíveis, se desejam visualizar e em que ordem (ver secção Configurações Consulting).

Além disso, será possível filtrar por um intervalo de datas (De, Até), para ajustar o Dashboard. O intervalo de datas que é exibido por padrão corresponde ao último ano, podendo ajustar-se o período no qual se deseja consultar a informação. Caso não se aplique nenhum filtro, será considerada toda a informação e comunicações existentes.

Dashboard.png

A lista de gráficos disponíveis é:

  • Comunicações por estado: Gráfico de setores para visualizar o estado das comunicações

  • Comunicações por estado e gestor: Gráfico de barras para identificar quantas comunicações estão atribuídas a cada gestor e em que estado se encontram.

  • Comunicações por gestor e estado: Gráfico de barras para identificar a quantidade de comunicações por estado e o gestor ao qual estão atribuídas.

  • Comunicações por Categoria: Gráfico de barras para consultar quantas comunicações de cada tipo foram criadas, por meses.

  • Criação de comunicações por data: Gráfico de histograma, para verificar a evolução de quantas comunicações foram geradas, por meses, no sistema. Esta informação considera, a partir do registo de logs, todas as comunicações geradas, mesmo que as comunicações já não estejam no sistema.

  • Perguntas de Seleção: Permite consultar, das perguntas do tipo dropdown, quantas comunicações têm cada opção selecionada.

  • Perguntas de Verificação: Permite consultar em quantas comunicações foi marcada cada pergunta deste tipo.

  • Espaço de Armazenamento: Mostra o espaço de armazenamento utilizado e disponível na ferramenta. O espaço utilizado é dividido em armazenamento ocupado pelas comunicações e anexos, espaço ocupado por anexos fornecidos pelos gestores e espaço ocupado por documentos internos.

  • Vista Gestores

Na vista dos Gestores, mais limitada, aparece o resumo dos comunicados que ele tem associados e, portanto, pode ver e gerir. Assim como o detalhe do estado e a sua percentagem.

image2019-3-12_15-37-44.png