Breadcrumbs

Startseite - Unternehmensübersicht

HINWEIS: Diese Option ist für die Benutzer Globaler Administrator, Administrator, Consulting und Manager verfügbar. Für den Benutzer Manager ist das Diagramm anders als für die anderen und wird im unteren Teil dieses Tabs detailliert beschrieben.

  • Übersicht

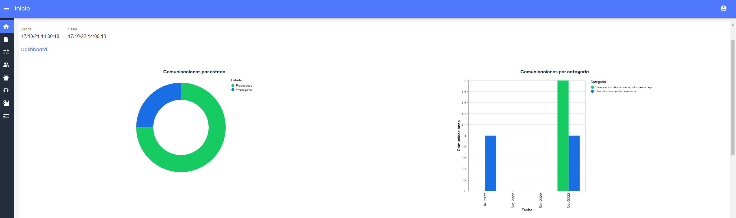
Diese Option ermöglicht es, eine Zusammenfassung des Status des Kanals zu sehen. Es ist möglich, anzupassen, welche der verfügbaren Diagramme angezeigt werden sollen und in welcher Reihenfolge (siehe Abschnitt Consulting-Einstellungen).

Außerdem ist es möglich, nach einem Datumsbereich (Von, Bis) zu filtern, um das Dashboard anzupassen. Der standardmäßig angezeigte Datumsbereich entspricht dem letzten Jahr, wobei der Zeitraum, in dem die Informationen abgerufen werden sollen, angepasst werden kann. Wenn kein Filter angewendet wird, werden alle vorhandenen Informationen und Kommunikationen berücksichtigt.

Dashboard.png

Die Liste der verfügbaren Diagramme ist:

  • Kommunikationen nach Status: Kreisdiagramm zur Visualisierung des Status der Kommunikationen

  • Kommunikationen nach Status und Manager: Balkendiagramm zur Identifizierung, wie viele Kommunikationen jedem Manager zugewiesen sind und in welchem Status sie sich befinden.

  • Kommunikationen nach Manager und Status: Balkendiagramm zur Identifizierung der Anzahl der Kommunikationen nach Status und dem Manager, dem sie zugewiesen sind.

  • Kommunikationen nach Kategorie: Balkendiagramm zur Abfrage, wie viele Kommunikationen jeder Art monatlich erstellt wurden.

  • Erstellung von Kommunikationen nach Datum: Histogramm zur Überprüfung der Entwicklung, wie viele Kommunikationen monatlich im System generiert wurden. Diese Informationen berücksichtigen, basierend auf dem Log-Register, alle generierten Kommunikationen, auch wenn diese nicht mehr im System vorhanden sind.

  • Auswahlfragen: Ermöglicht die Abfrage, wie viele Kommunikationen bei Dropdown-Fragen jede ausgewählte Option haben.

  • Verifizierungsfragen: Ermöglicht die Abfrage, in wie vielen Kommunikationen jede Frage dieses Typs markiert wurde.

  • Speicherplatz: Zeigt den genutzten und verfügbaren Speicherplatz im Tool an. Der genutzte Speicherplatz wird unterteilt in Speicherplatz, der von Kommunikationen und Anhängen belegt wird, Speicherplatz, der von Anhängen der Manager belegt wird, und Speicherplatz, der von internen Dokumenten belegt wird.

  • Manager-Ansicht

In der eingeschränkteren Ansicht der Manager erscheint die Zusammenfassung der Kommunikationen, die ihnen zugewiesen sind und die sie daher sehen und verwalten können, sowie die Details des Status und dessen Prozentsatz.

image2019-3-12_15-37-44.png